1. LES GRAPHES
 
 
DEFINITIONS ET THEOREMES
 
 
Graphe
 

Un graphe est un ensemble de noeuds qui sont reliés entre eux par des arcs. Mathématiquement, un graphe est représenté par un couple de deux ensembles G = (X;U)X est l'ensemble des noeuds et U l'ensemble des arcs.

 
Arc
 

Un arc relie deux noeuds entre eux, il sera donc représenté par un couple (x;y)x et y sont des noeuds. Un arc peut être orienté, c'est-à-dire que l'ordre de x et de y est important dans le couple (x;y). Un arc peut ne pas être orienté et dans ce cas, l'ordre de x et de y dans le couple (x;y) n'a aucune importante, donc (x;y) = (y;x). Les arcs sont représentés de la manière suivante.

  • Arc orienté:

  • Arc non orienté:

 
Remarque

Un arc non orienté peut toujours être transformé en une situation où l'on n'a que des arcs orientés.

C'est pourquoi, dans la suite du cours, on utilisera le plus souvent des graphes orientés, c'est-à-dire des graphes dont les arcs sont tous orientés.

 
Boucle
 

On appelle boucle un arc dont l'extrémité initiale est égale à son extrémité finale. Par exemple, (x;x) est une boucle.

 
Adjacence
 

Pour un arc u = (x;y) on dit que:

  • x est adjacent à y,

  • y est adjacent à x,

  • x et y sont adjacents à u,

  • u est adjacent à x et y.

 
Degré
 

Le demi-degré extérieur d'un noeud est le nombre d'arcs adjacents qui en partent.
On le note d+(x) et d+(x) = |{u  U | u = (x;y) où y  X}|.

Le demi-degré intérieur d'un noeud est le nombre d'arcs adjacents qui y arrivent.
On le note d-(x) et d-(x) = |{u  U | u = (y;x) où y  X}|.

Le degré d'un noeud est le nombre d'arcs qui lui sont adjacents.
On le note d(x) et d(x) = d+(x) + d-(x).

 
Exemple

Dans le graphe suivant, d+(x) = 3, d-(x) = 2, d(x) = 5.

 
Graphe régulier
 

Un graphe est dit régulier si les degrés de tous ses sommets sont égaux.

 
Graphe complet
 

Un graphe est dit complet si tous les noeuds sont adjacents deux à deux.
Autrement dit, (x;y)  U  (y;x)  U.

 
Exemple

Graphe non complet:

Graphe complet:

 
Chaîne
 

Une chaîne de x à y est une séquence d'arcs c = ((x;e),(z;e),(z;a)...(s;t),(u;t),(u;y)) où deux arcs qui se suivent sont adjacents et où x doit être une extrémité du premier arc et y une extrémité du dernier.

 
Chemin
 

Un chemin de x à y est une chaîne dans laquelle les arcs sont orientés et tels que:

  • x est l'extrémité initiale du premier arc,

  • y est l'extrémité terminale du dernier arc,

  • l'extrémité terminale d'un arc est l'extrémité initiale de l'arc qui le suit dans la séquence.

 
Exemple
  • ch1 = ((A;C),(C;E)) est un chemin de A à E.

  • ch2 = ((A;C),(C;F),(F;A),(A;C),(C;E)) est un chemin de A à E.

  • ch3 = ((A;C),(C;F),(F;D),(D;C),(C;E)) est un chemin de A à E.

  • ch4 = ((A;B),(B;D),(D;E)) est une chaîne de A à E.

  • ch5 = ((A;B),(B;D),(D;C),(C;A),(A;B),(B;D),(D;E)) est une chaîne de A à E.

  • ch6 = ((A;B),(B;D),(D;C),(C;F),(F;D),(D;E)) est une chaîne de A à E.

 
Chemin, chaîne simples
 

Un chemin simple est un chemin qui ne contient pas plusieurs fois le même arc. Dans l'exemple précédent, ch1 et ch3 sont des chemins simples mais pas ch2.

Une chaîne simple est une chaîne qui ne contient pas plusieurs fois le même arc. Dans l'exemple précédent, ch4 et ch6 sont des chaînes simples mais pas ch5.

 
Chemin, chaîne élémentaires
 

Un chemin élémentaire est un chemin qui ne passe pas plus d'une fois par un noeud. Dans l'exemple précédent, ch1 est un chemin élémentaire mais pas ch2, ni ch3.

Une chaîne élémentaire est une chaîne qui ne passe pas plus d'une fois par un noeud. Dans l'exemple précédent, ch4 est un chemin élémentaire mais pas ch5, ni ch6.

 
Connexité, forte connexité
 

On définit la connexité par une relation entre deux noeuds de la manière suivante.

x et y ont une relation de connexité  il existe une chaîne entre x et y ou bien x = y.

On définit la forte connexité par une relation entre deux noeuds de la manière suivante.

x et y ont une relation de forte connexité  (il existe un chemin de x à y et un chemin de y à x) ou bien x = y.

 
Graphe connexe, fortement connexe
 

Un graphe est dit connexe si tous ses noeuds ont deux à deux la relation de connexité.

Un graphe est dit fortement connexe si tous ses noeuds ont deux à deux la relation de forte connexité.

 
Exemple

Graphe non connexe:

Graphes connexes mais non fortement connexes:

Graphe fortement connexe:

 
Composante connexe, fortement connexe
 

On appelle composante connexe un ensemble de noeuds qui ont deux à deux la relation de connexité. De plus, tout noeud en dehors de la composante n'a pas de relation de connexité avec aucun des éléments de la composante.

De même, on appelle composante fortement connexe un ensemble de noeuds qui ont deux à deux la relation de forte connexité. De plus, tout noeud en dehors de la composante n'a pas de relation de forte connexité avec aucun des éléments de la composante.

Dans l'exemple précédent du graphe non connexe, {A,B,C} est une composante fortement connexe du graphe et {D,E} est une composante connexe.

 
Graphe réduit
 

On appelle graphe réduit du graphe G le graphe G' pour lequel chaque noeud est associé à une composante fortement connexe de G. De plus, un arc relie un noeud x' à un noeud y' dans le graphe G' s'il existe un arc qui relie x à y dans Gx appartient à la composante fortement connexe de G associée à x' et où y appartient à la composante fortement connexe de G associée à y'.

 
Exemple

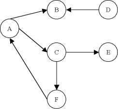
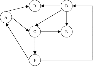
Ce graphe G n'est pas fortement connexe, car on ne peut pas trouver de chemin de A à D par exemple. Par contre, on identifie deux composantes fortement connexes A' = {A,B,C} et B' = {D,E}. Le graphe réduit du graphe G' est:

 
Circuit, cycle
 

Un circuit contenant un noeud x est un chemin de x à x. Un circuit est une séquence circulaire d'arcs et donc, contrairement au chemin, un circuit n'a ni début, ni fin.

De même, un cycle contenant un noeud x est une chaîne de x à x. Un cycle est également une séquence circulaire d'arcs.

Un circuit (ou une chaîne) est élémentaire si le chemin (ou la chaîne) associé(e) est élémentaire.

 
Sous-graphe, graphe partiel, sous-graphe partiel
 

Soit un graphe G = (X;U), X' inclus dans X et U' inclus dans U et U'' = {(x;y)  U | x  X' et y  X'}.

Le graphe (X';U'') est appelé "sous-graphe" de G.
Le graphe (X;U') est appelé "graphe partiel" de G.
Le graphe (X';U'  U'') est appelé "sous-graphe partiel" de G.

En d'autres termes:

Un sous-graphe de G, c'est G privé de quelques noeuds et des arcs adjacents à ces noeuds.
Un graphe partiel de G, c'est G privé de quelques arcs.
Un sous-graphe partiel de G, c'est un graphe partiel d'un sous-graphe de G.

 
Exemple

Un graphe G:

Un sous-graphe de G:

Un graphe partiel de G:

Un sous-graphe partiel de G:

 
COMPOSANTES FORTEMENT CONNEXES
 

Lors de la conception d'un réseau de communication notamment, il peut être intéressant de savoir si la configuration choisie permet une communication de n'importe quel point à n'importe quel autre. Un moyen de le vérifier est de représenter le réseau sous la forme d'un graphe et de vérifier qu'il est fortement connexe. Pour cela, l'algorithme suivant est proposé. Il détermine la composante fortement connexe d'un graphe contenant un point donné. Ensuite, pour le problème énoncé, il suffit de choisir un point au hasard, d'exécuter l'algorithme et de vérifier que la composante fortement connexe trouvée est bien le graphe en entier. Un algorithme permettant de trouver toutes les composantes fortement connexes est également proposé.

 
Recherche d'une composante fortement connexe
 

Cet algorithme recherche la composante fortement connexe d'un graphe G contenant un sommet a. L'idée de cet algorithme est de parcourir le graphe à partir du point a dans le sens direct (i.e. en suivant les flèches des arcs) et de créer un ensemble des noeuds parcourus. La même chose est effectuée dans le sens indirect (i.e. en suivant les flèches des arcs en sens inverse) et de créer un deuxième ensemble des noeuds parcourus. Le premier ensemble regroupe les noeuds accessibles à partir de a et le deuxième ensemble regroupe les noeuds qui peuvent atteindre a. L'intersection de ces deux ensembles donne les noeuds qui à la fois peuvent atteindre a et sont accessibles à partir de a. Cette intersection est donc la composante fortement connexe qui contient a.

 
Algorithme

Titre: ComposanteFortementConnexe
Entrées: G = (X;U) un graphe, a un sommet.
Sortie: X' un sous-ensemble de sommets.
Variables intermédiaires: X1 et X2 deux sous-ensembles de sommets, examiné() une fonction, x un noeud.

Début
 X1  {a};
 pour tout x  X faire examiné(x)  faux;

 tant que  x  X1 | non examiné(x) faire
  examiné(x)  vrai;
  pour tout u = (x;y)  U | y  X1 faire X1  X1  {y};
 fin tant que;

 X2  {a};
 pour tout x  X1 faire examiné(x)  faux;

 tant que  x  X2 | non examiné(x) faire
  examiné(x)  vrai;
  pour tout u = (y;x)  U | y  X2 faire X2  X2  {y};
 fin tant que;

 X'  X1  X2;

Fin

 
Recherche de toutes les composantes fortement connexes
 

Pour trouver toutes les composantes fortement connexes d'un graphe, il suffit de choisir au hasard un noeud et de déterminer, grâce à l'algorithme précédent, la composante fortement connexe qui le contient. On obtient alors une première composante fortement connexe X1. Ensuite, parmi les noeuds qui ne font pas partie de X1, on en prend un au hasard pour déterminer la composante fortement connexe qui le contient. On obtient X2. On recommence ainsi jusqu'à ce que tous les noeuds appartiennent à une composante fortement connexe.

 
Algorithme

Titre: ComposantesFortementConnexes
Entrées: G = (X;U) un graphe.
Sortie: C = {C1,...,Cn} un ensemble de composantes connexes.
Variables intermédiaires: X' un sous-ensemble de sommets, i un entier, x un noeud.

Début
 X'  X;
 i  1;

 tant que X'   faire
  choisir x dans X';
  Ci  ComposanteFortementConnexe(G,x);
  X'  X' - Ci;
  i  i + 1;
 fin tant que;

Fin

 
 
Copyright (c) 1999-2016 - Bruno Bachelet - bruno@nawouak.net - http://www.nawouak.net
La permission est accordée de copier, distribuer et/ou modifier ce document sous les termes de la licence GNU Free Documentation License, Version 1.1 ou toute version ultérieure publiée par la fondation Free Software Foundation. Voir cette licence pour plus de détails (http://www.gnu.org).